W okresie Wszystkich Świętych, czyli od piątku 1 listopada do niedzieli 3 listopada, chorzy w województwie lubelskim mogą skorzystać z 27 punktów świadczących nocną i świąteczną opiekę zdrowotną.
CZYTAJ: Trzy dni kwesty na odnowę zabytkowych nagrobków przy ul. Lipowej
– Pacjenci w przypadku nagłego zachorowania lub pogorszenia stanu zdrowia mogą się udać po pomoc do dowolnego punktu nocnej i świątecznej opieki zdrowotnej. Nie ma znaczenia miejsce naszego zamieszkania – przypomina Narodowy Fundusz Zdrowia.
GDZIE SZUKAĆ PUNKTÓW NOCNEJ I ŚWIĄTECZNEJ OPIEKI ZDROWOTNEJ?
Do punktu nocnej i świątecznej opieki zdrowotnej należy udać się np. w sytuacji nagłego zachorowania, pogorszenia się stanu zdrowia, bólu głowy czy brzucha, które nie ustępują pomimo przyjęcia leków przeciwbólowych – zwłaszcza jeżeli dolegliwości te dotyczą małych dzieci lub osób starszych. Adresy i dane kontaktowe do punktów nocnej i świątecznej opieki zdrowotnej w województwie lubelskim można znaleźć poniżej oraz w załączniku na końcu tekstu.


W przypadku nagłych problemów dentystycznych można także skorzystać ze stomatologicznej pomocy doraźnej. Jej punkty działają w: Lublinie, Łukowie, Kraśniku, Łukowie, Janowie Lubelskim i Zamościu. Ich listę i godziny otwarcia można znaleźć TUTAJ.
POMOC NA SOR
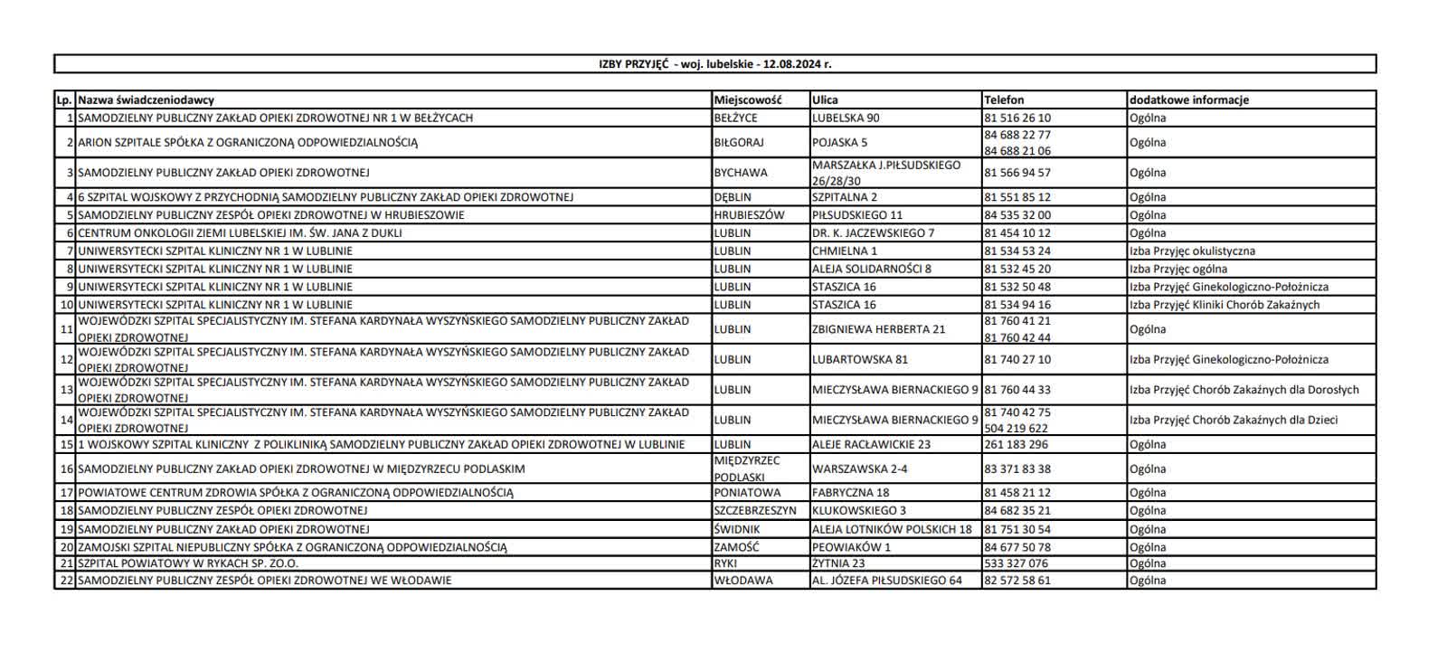
W sytuacji zagrożenia zdrowia lub życia pomocy udzielają izby przyjęć oraz Szpitalne Oddziały Ratunkowe (SOR). Wówczas należy zadzwonić pod numer 112 lub 999 i wezwać zespół ratownictwa medycznego. NFZ podkreśla, iż SOR i izby przyjęć pomagają osobom w stanach ciężkich (np. wypadek, uraz, zatrucie, krwawienie z przewodu pokarmowego lub dróg moczowych), których następstwem może być poważne uszkodzenie funkcji organizmu lub utrata życia.
Zespół ratownictwa medycznego należy wezwać, jeżeli ktoś w naszym otoczeniu np. stracił przytomność, ma drgawki, zaburzenia rytmu serca, rozległe oparzenia, uporczywe wymioty – zwłaszcza z domieszką krwi, odczuwa nasiloną duszność lub ostry ból brzucha.
Fundusz zwraca uwagę na to, iż pomoc medyczna w izbach przyjęć i Szpitalnych Oddziałach Ratunkowych nie zastępuje wizyty u lekarza rodzinnego, czy lekarza poradni specjalistycznej.
Adresy i dane kontaktowe do SOR-ów i izb przyjęć można znaleźć poniżej.


RL / opr. LisA / AKos
Fot. pexels.com

1 rok temu












